Por qué los revestimientos de lentes son tan importantes en fotografía
En los últimos años, algunos diseñadores de lentes han actualizado sus lentes con nuevos recubrimientos de lentes. Por ejemplo, los nuevos lentes limitados de Pentax cuentan con un diseño óptico existente con solo algunas mejoras, incluido un mejor recubrimiento de lentes. Al probar dichos lentes, los revisores generalmente coinciden en que los nuevos recubrimientos de lentes mejoran significativamente la calidad de la imagen (especialmente el contraste y el destello), pero nunca explican del todo cómo funcionan los recubrimientos de lentes. Ese es el objetivo de este artículo.

Los Orígenes de los Recubrimientos de Lentes
Históricamente, los recubrimientos se han introducido para reducir la pérdida de luz en los sistemas ópticos. De hecho, cada vez que la luz pasa de un medio óptico a otro, se pierde una fracción de la energía debido a un fenómeno de reflexión. Este fenómeno de reflexión ocurre de forma natural en cualquier tipo de superficie entre dos materiales, ya sea la superficie de un río, un cristal o un espejo. La única diferencia es la cantidad de luz reflejada. En el caso del cristal, comúnmente se acepta que el 96% de la luz se transmite y el 4% se refleja.
La ecuación detrás de estos números es:

R es la energía reflejada, n1 es el índice de refracción del primer medio (1.0 para el aire) y n2 es el índice de refracción del segundo medio (vidrio, en nuestro caso). El índice de refracción del vidrio suele estar en el rango de 1.4 a 1.8. El valor del 4% se deriva de un índice de refracción típico de 1.5.
Esta energía perdida puede parecer insignificante al principio. Sin embargo, se acumula para cada superficie de lente dentro de un sistema de lentes dado. Una lente prime típicamente contiene de 7 a 12 elementos (lo que significa alrededor de 15-20 superficies de lentes, ya que cada elemento de lente tiene tanto una interfaz de aire/vidrio como una interfaz de vidrio/aire) mientras que un diseño de lente de zoom moderno cuenta con más de 20 elementos (lo que significa aproximadamente 40 superficies de lentes).
Esta lente prime típica solo permitiría pasar la mitad de la luz, mientras que el lente zoom transmitiría menos del 20% de la luz entrante.

El primer recubrimiento de lentes se puede rastrear hasta el matemático y científico inglés Lord Rayleigh (John William Strutt, 3er Barón Rayleigh). Para su sorpresa, descubrió en 1886 que el vidrio opaco y antiguo transmite más luz que el vidrio nuevo y sin manchas. Lord Rayleigh descubrió que dos interfaces sucesivas aire/opacidad y opacidad/vidrio transmiten más luz que una sola interfaz aire/vidrio. Varias patentes siguieron a este descubrimiento y el recubrimiento de lentes mejoró gradualmente.

Para los fotógrafos, ocurrió una mejora importante en la década de 1930. En 1935, el ingeniero de Zeiss, Alexander Smakula, patentó el primer recubrimiento que utiliza múltiples capas de productos químicos. Este diseño, como explicaremos más adelante, mejoró drásticamente el rendimiento de los recubrimientos de lentes y condujo a niveles sin precedentes de rendimiento óptico.

¿Qué efectividad tienen los recubrimientos de lentes para mejorar la transmisión de luz?
Un recubrimiento de lente típicamente aumenta la transmisión de alrededor del 96% a más de 99.7%. Esto significa que ahora una lente prime típica puede transmitir el 95% de la luz (antes del 50%) y nuestro zoom puede transmitir el 88% (antes del 20%).
Obviamente, el recubrimiento de la lente mejora considerablemente la fotografía en condiciones de poca luz. Esta mejora es aún más impresionante a medida que aumenta el número de lentes ópticas utilizadas en los diseños modernos de lentes fotográficas. Si en los primeros días de la fotografía era común utilizar un doblete de lente, hoy en día es común utilizar más de 15 elementos de lente en lentes diseñadas por computadora. Por lo tanto, la transmisión de luz es un aspecto cada vez más importante para los diseñadores de lentes.
Los problemas de bajo contraste y halos de lente.
Hay otras ventajas en el uso de recubrimiento en las lentes. La energía que no se transmite se refleja de ida y vuelta varias veces en la lente y termina siendo añadida a la imagen final. En el mejor de los casos, las áreas oscuras son iluminadas por luz difusa, lo que resulta en un rango dinámico y contraste más bajos. En el peor de los casos, una fuente de luz potente en la escena también produce manchas brillantes dentro de la imagen, conocidas como destellos.
En 2016, el fabricante de lentes Zeiss realizó un experimento interesante para demostrar la importancia de los recubrimientos de lentes. El fabricante produjo dos copias del mismo objetivo exacto, un Distagon de 21mm f/2.8, uno con recubrimientos ópticos y el otro sin ellos.

A continuación se presentan algunas de las imágenes obtenidas por ambos lentes en la misma condición. En general, la calidad de la imagen se reduce drásticamente en todas las fotos tomadas con el lente sin revestimientos.


La física de los diseños de recubrimiento de lentes.
El diseño de un revestimiento puede basarse en varios principios físicos. La lista incluye métodos basados en índices, materiales GRIN, polarización, teoría de difracción e incluso metamateriales…
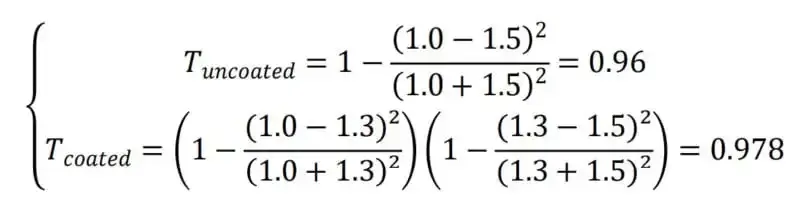
La forma más sencilla de recubrimiento antirreflectante, históricamente, nos lleva de vuelta a la ecuación de transmisión. Parece que la transmisión total puede mejorarse al agregar un medio con un índice de refracción más bajo (por ejemplo, 1.3) que el del vidrio (por ejemplo, 1.5).

Con el simple recubrimiento propuesto anteriormente, se puede mejorar la transmisión de luz del 96% al 97.8%. Sin embargo, este tipo de recubrimiento de una sola capa aún está lejos de reflejar el 0%.
Para mejorar el rendimiento del recubrimiento, los diseñadores de lentes tienden a utilizar la teoría de la difracción en su lugar. Utilizando la naturaleza ondulatoria de la luz, se puede elegir una capa delgada de material para cancelar perfectamente la reflexión. Una capa con un grosor de 1/4 de la longitud de onda significa que la onda reflejada en el vidrio viajará una longitud de onda adicional de 1/2 (1/4 de longitud de onda entrante y 1/4 de longitud de onda saliente) en comparación con la onda reflejada en el recubrimiento antirreflectante. Por lo tanto, las dos ondas se desplazan con fases opuestas y su suma es nula.

Hay un par de advertencias para este caso ideal. En primer lugar, la luz generalmente se presenta en un espectro en lugar de una sola longitud de onda (una sola longitud de onda no existe realmente en la naturaleza, se pueden encontrar algunas en fuentes de láser hechas por el hombre). Para la luz visible, las longitudes de onda van desde 400 nm (luz azul) hasta 800 nm (luz roja). Esto significa que el grosor necesario para eliminar los reflejos varía significativamente con el color. También podría significar que no todos los colores se transmiten por igual, lo que realmente significa que el recubrimiento de la lente introducirá una dominancia de color.
En segundo lugar, nuestros cálculos supusieron que los rayos de luz son perpendiculares a la superficie de vidrio. En casos prácticos, sin embargo, pueden caer sobre la lente con un ángulo considerable. Tan pronto como se introduce un ángulo, el camino óptico dentro del recubrimiento antirreflejo aumenta, lo que resulta en una menor transmisión.
Para resolver estos problemas, la mejor solución es agregar varias capas de recubrimiento. Una estructura común alterna recubrimiento de 1/4 de longitud de onda con recubrimiento de 1/2 longitud de onda. Es común tener lentes con típicamente 7 capas de recubrimiento.

¿Cómo se producen en masa los revestimientos de lentes?
La longitud de onda en la luz visible es alrededor de 500nm y los recubrimientos de lentes suelen ser capas delgadas de 100nm a 250nm. Para poner esto en perspectiva, un cabello humano promedio es aproximadamente mil veces más grueso.
La capa también se supone que debe ser uniforme en todo el vidrio, de modo que el grosor de la capa solo varíe en unos pocos porcentajes. Este paso no se puede realizar hasta que el vidrio esté cortado y pulido a su forma final, ya que de lo contrario el proceso de pulido eliminaría el revestimiento.
El proceso industrial moderno utiliza tecnologías de deposición por vapor. Se realiza generalmente en una cámara de vacío con productos químicos para evaporar.
Aquí hay un breve video de una máquina diseñada para este propósito.
Puedes ver en la parte superior del sistema un conjunto de lentes listas para ser revestidas. Estas lentes serán rotadas a través del proceso de revestimiento para igualar la capa de revestimiento antirreflectante.
Conclusión.
La ciencia de los recubrimientos de lentes tiene casi un siglo de existencia. Sin embargo, el tema todavía se está investigando activamente. Las tecnologías de los meta-materiales muy discutidas que están apareciendo en los titulares estos días podrían traer posibles mejoras sobre los recubrimientos de lentes existentes.
Dado el aumento de la complejidad de los diseños de lentes, cualquier avance en el recubrimiento de las lentes es para beneficio ya que también mejora la transmisión de luz y el contraste de imagen.
Sobre el autor: Timothee Cognard es un experto óptico y fotógrafo con sede en París, Francia.
Créditos de la imagen: foto de encabezado de Depositphotos.
Contenido Relacionado